抗体工艺开发

在生物制药领域,抗体工艺开发是决定药物成功商业化的关键环节。大分子生物药物的复杂结构特性,使得行业在开发过程中面临一系列挑战,包括漫长的研发周期、产品收率与质量的平衡难题以及严格的合规要求。

在皓元, 我们深刻理解这些痛点,凭借深厚的专业知识和先进的技术,根据您在不同发展阶段的需求,提供全程无缝的抗体工艺开发、优化与生产解决方案,从临床前候选化合物(preclinical candidate compounds,PCC)制备到最终患者应用,助力您实现高效、可扩展的生物药物生产。

图片描述1

一站式生物大分子CDMO服务

我们提供涵盖单抗、双抗、多抗、重组蛋白及抗体偶联药物的全生命周期解决方案,构建出一个从研发到商业化的完整服务平台。

图片描述2

专业的科学团队

我们拥有超过 200 名科学家的团队,从研发到商业化提供全面支持,确保为您的生物大分子管线提供无缝的技术转移,有效降低管理和过渡成本。

图片描述3

灵活高效的生产能力

具备200L、500L以及2,000L的反应釜规模以及高分辨质谱仪等精密仪器,生产能力支持药物开发的所有阶段(Non-GMP&cGMP)。

我们的服务

依托我们成熟的平台化流程,我们能够加速抗体疗法从概念验证到大规模批次生产的无缝衔接。

我们的服务项目包括

抗体工艺开发

  • 细胞培养工艺开发
  • 纯化工艺开发
  • 制剂工艺开发
  • 技术转移
  • 工艺表征

稳定性研究

  • 反复冻融稳定性
  • 中间体稳定性
  • 长期稳定性

合作优势

全流程技术支持

提供从早期成药性评估到IND再到BLA商业化生产的全面技术服务,助力药物快速进入市场

高表达

细胞培养提供多种操作模式,如常规批次补料 (Modes-Fed-Batch, FB)、加强型批次补料 (Intensified Fed-Batch, IFB)及灌注 (Perfusion)等,其中IFB相比传统FB可提升生产力超过50%

精确质量调控

基于抗体产量可比,对糖型、纯度、电荷异构体和杂质等CQA进行精准调控,确保产品质量的一致性与符合国际标准

圆形图

敏捷高效与快速响应

利用先进的技术平台和高效的研发流程,快速响应客户需求,如通过瞬转和cell Pool平台,能快速提供预毒理样品,确保快速、高效的项目交付

可放大工艺

配备24*3L+4*15L生物反应器,支持细胞培养工艺放大。采用AKTA pure及Avant等稳定智能的纯化系统,确保抗体、融合蛋白从mg级到g级工艺开发及放大

我们的基地

研发及生产基地

研发基地图片1
重庆抗体偶联药物CDMO基地
单抗、双抗、多抗、重组蛋白及抗体偶联药物工艺研发和生产

案例研究

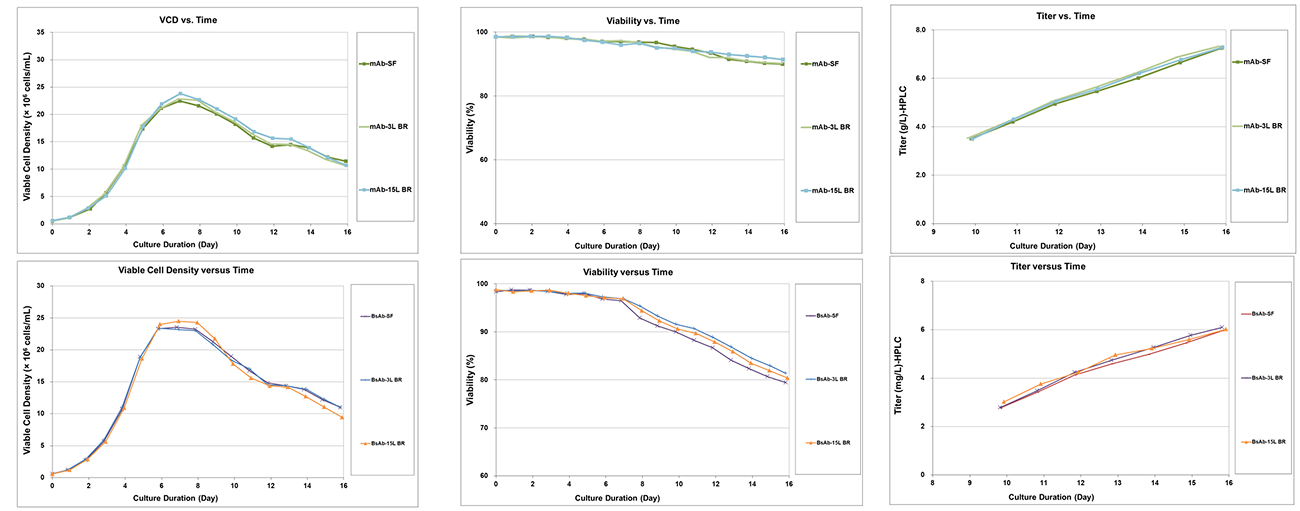
在本项目中,我们分别开展单抗(mAb)与双抗(BsAb)的细胞培养工艺研究。结果显示:

·   单抗(mAb)在CHO K1 (Horizon) 细胞中表现良好,峰值细胞密度约为 2.2×10⁷ cells/mL,最终收获活率 91.1%,产量大于 7 g/L。

·    双抗(BsAb)在CHO K1 (CHOZN) 细胞中峰值细胞密度约为 2.5×10⁷ cells/mL,最终收获活率 80.3%,产量大于 6 g/L。

在放大过程中,从摇瓶到3 L反应器到15 L反应器均表现出稳定的细胞生长曲线、存活率及产量趋势,验证了该工艺的可放大性与稳健性。

在本项目中,我们分别开展单抗(mAb)与双抗(BsAb)的纯化工艺研究。结果显示:

·   单抗(Ab):收率 >70%,SEC-HPLC 纯度 >99%,电荷异构体(CEX)主峰占比 >60%,HCP <10 ppm,内毒素 <0.1 EU/mg。

·    双抗(BsAb):收率 >60%,SEC-HPLC 纯度 >99%,电荷异构体(CEX)主峰占比 >60%,HCP <10 ppm,内毒素 <0.1 EU/mg。

整体来看,单抗与双抗在下游纯化后均达到了高收率与高纯度的要求,杂质(HCP、内毒素)控制良好,完全符合中美双报的注册申报标准

常见问题解答

多特异性抗体分子结构更复杂,易出现错误配对或稳定性问题。因此需要更严格的工艺优化策略、分析方法以及质量控制手段,以确保分子的正确折叠、功能活性与安全性。

对于Konb in Hole构型的双抗,普遍存在Hole-Hole重链的错配以及轻链的错配。

对于Lambda轻链与Kappa轻链的错配,可以基于纯化填料的筛选,特异性的对Lambda轻链与Kappa轻链的构型进行分离。

对于Hole-Hole重链的错配,基于Knob重链与Hole重链的性质差异,如电荷异构、Protein A/G的亲和力的不同,在纯化工艺过程中进行分离和去除。

皓元医药可以在GMP条件下开发和生产CHO细胞表达的重组蛋白。

联系我们

  • 请输入您的姓名.
  • 请输入您的邮箱地址
    请输入您的公司
  • 请输入正确的验证码.
请确认勾选同意