原料药生产
让药物研发更高效、更快上市
随着分子结构日益复杂,尤其是在中间体、高活性API(HPAPI)、手性化合物及杂环类化合物等领域,构建稳定、可放大的生产工艺对于保障药品质量、实现注册合规与推动商业化交付变得尤为关键。
皓元医药提供覆盖工艺路线筛选、工艺优化、放大生产、GMP制造及全球注册支持的一体化原料药服务平台,包括注册起始物料(RSM)、中间体、API与HPAPI等,助力客户项目高效推进,稳定交付,降本增效,顺利从研发到商业化生产。
一站式小分子CDMO平台
从发现到商业化,我们全面整合小分子CRO与CDMO能力,提供涵盖起始原料、中间体、API、高活性API及制剂在内的全流程(端对端)服务。
绿色化学与前沿技术
精通手性分子、高活性API、杂环和ADC连接子等复杂分子的合成,辅以流动化学、高通量筛选、生物催化、制剂增溶技术等前沿技术平台。
全球合规与成本效益
我们拥有符合GMP标准的生产基地,确保在监管合规方面达到卓越水平。我们为客户量身定制CDMO策略,有效降低成本、减少技术转移环节,加快产品上市进程。
我们的服务
皓元医药提供原料药生产从工艺路线探索、工艺优化到GMP生产及注册支持在内的一体化服务。凭借丰富经验、先进技术与卓越的生产能力,我们致力于为全球制药客户在不同开发阶段以及分子类型提供高质量、高合规的CDMO支持。
我们的服务项目包括
工艺路线探索与优化
- 合成可行性评估及备选工艺路径制定
- 从放大性、安全性、成本及法规等维度进行多因素评估
- 筛选适合进一步开发的优选工艺路线
工艺开发
- 放大工艺开发
- 关键反应参数优化,提升产率与纯度
- 建立关键工艺参数(CPP)控制策略,确保工艺稳定性
GMP原料药生产
- 灵活覆盖克级至吨级的GMP放大生产能力
- 从临床阶段到商业化生产的稳定供应
- 配备GMP高活原料药生产线与OEB5级隔离器,可支持靶向抗肿瘤等复杂药物生产
固态化学
- 晶型、粒径分布、结晶度等关键固态属性表征
- 为工艺稳定性评估及注册申报提供关键支持
- 与工艺开发及分析团队协同推进,提升整体效率
技术转移
- 实现了客户与皓元之间的高效技术转移
- 提供完备的技术文件、验证支持及质量体系对接
- 基于风险评估的转移计划,降低延误风险
分析方法开发与质量控制
- 按ICH与GMP要求开展分析方法开发、验证与转移
- 杂质谱分析、质量标准制定及结构表征
- 支持批次放行、稳定性研究及IND/NDA申报
合作优势
选择合适的CDMO合作伙伴,是推动原料药快速上市的关键所在。
截至目前,我们已成功交付900余项小分子药物项目,涵盖833项临床前与I期、116项II-III期、17项商业化阶段项目,赢得全球客户的广泛信赖。
寻找可靠的原料药生产合作伙伴?皓元医药助您快速推进原料药生产项目、安心迈向商业化。
即刻联系我们,开启您的原料药合作之旅!
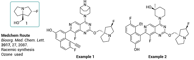
案例研究

• Cost effective chiral building block
• 4-Step diastereoselective synthesis · High ee value
• The TMS ether was isolated and directly used for the fluorination
KRAS G12D是癌症中常见且难靶向的突变之一,其靶向药物通常含有关键手性骨架——((2R,7aS)-2-Fluorotetrahydro-1H-pyrrolizin-7a(5H)-yl)methanol。然而,该分子的现有合成路线步骤冗长、收率低,且依赖高危反应和昂贵手性分离,限制其规模化生产。
针对这一瓶颈,皓元医药开发了一条高效、可放大的新工艺,并已获得PCT国际专利(WO2024092420A1)。该路线以廉价脯氨酸为起始原料,通过关键的手性环氧化物开环及分子内烷基化反应,高选择性构建桥环结构,仅经4步即可获得ee > 99%的目标产品,避免高危工艺和色谱纯化,显著提高生产安全性与经济性,为该类高难度手性分子的工业化提供可靠路径。
常见问题解答
这些概念构成了小分子药物生产的完整链条:
RSM (注册起始原料):是用于符合GMP要求的原料药合成的基本化学物质。在定义最终原料药的结构和质量方面,这些成分至关重要
中间体 (Intermediates):从RSM到最终API的多步合成过程中产生的化学物质。中间体通常不具备药理活性,但其质量直接影响最终API的质量。
API vs Drug Substance:这两个术语实质上指同一概念——具有药理活性的最终化学物质。API是工业界更常用的传统术语,而Drug Substance是FDA和ICH等监管机构在正式文件中偏好使用的术语。在CTD申报文件中通常使用Drug Substance,在商业交流中更多使用API。
完整流程:RSM → 中间体1 → 中间体2 → ... → API/Drug Substance → Drug Product(制剂)
我们提供从工艺路线探索、工艺优化、工艺放大到GMP生产及注册支持的全流程服务,覆盖注册起始原料(RSM)、中间体、API及高活性API(HPAPI)等,助力客户从研发到商业化生产。
我们具备从毫克级到吨级的灵活产能,既能满足早期临床的少量需求,也能支持商业化阶段的大规模生产。同时,我们的GMP产线可支持I–III期临床和商业化原料药生产,并配备符合OEB-5标准的高活性API隔离设施。